Официальное опубликование правовых актов
ОФИЦИАЛЬНОЕ ОПУБЛИКОВАНИЕ
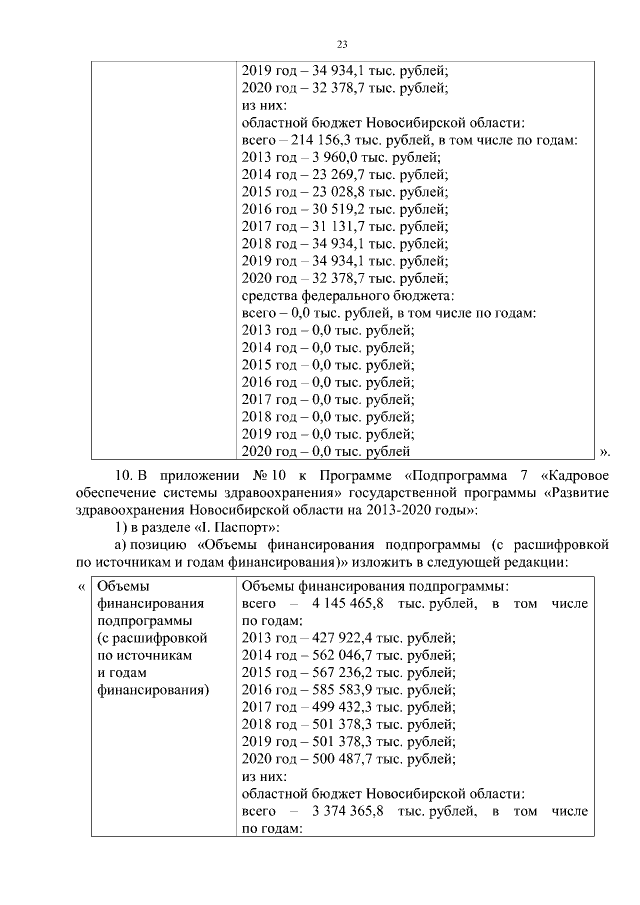
Постановление Правительства Новосибирской области от 14.12.2016 № 404-п
"О внесении изменений в постановление Правительства Новосибирской области от 07.05.2013 № 199-п"
Номер опубликования: 5400201612150022
Дата опубликования: 15.12.2016
Страница №23 из 80:
Увеличить