Официальное опубликование правовых актов
ОФИЦИАЛЬНОЕ ОПУБЛИКОВАНИЕ
Постановление Правительства Новосибирской области от 18.04.2017 № 147-п
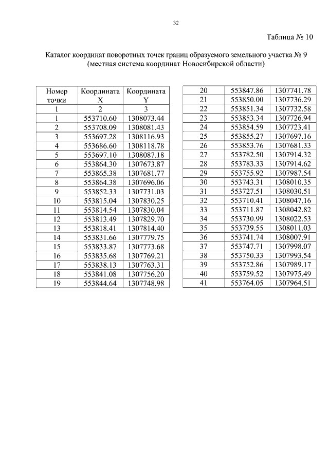
"Об утверждении проекта планировки территории для размещения объекта регионального значения автомобильной дороги межмуниципального значения "187 км а/д "К-22" – Резино" на участке км 0+000 – км 14+102 в границах муниципальных образований Козинский сельсовет, Кушаговский сельсовет, Побединский сельсовет и Усть-Таркский сельсовет Усть-Таркского района Новосибирской области и проекта межевания территории в его составе"
Номер опубликования: 5400201704190009
Дата опубликования: 19.04.2017
Страница №68 из 121:
Увеличить