Официальное опубликование правовых актов
ОФИЦИАЛЬНОЕ ОПУБЛИКОВАНИЕ
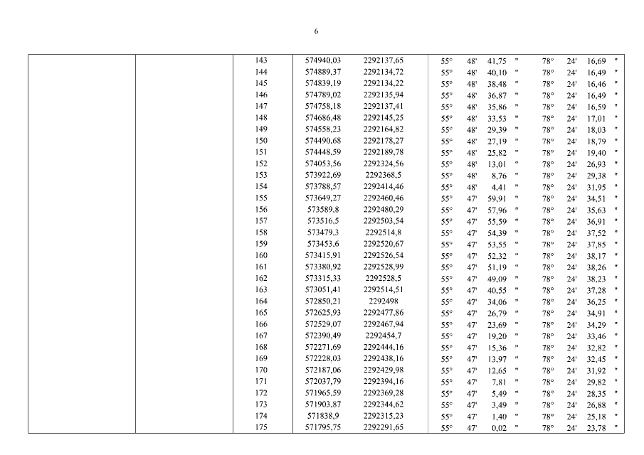
Постановление Правительства Новосибирской области от 26.04.2017 № 161-п
"Об утверждении границ особо охраняемой природной территории регионального значения – государственного природного заказника "Казатовский" Новосибирской области"
Номер опубликования: 5400201704280007
Дата опубликования: 28.04.2017
Страница №7 из 31:
Увеличить