Официальное опубликование правовых актов
ОФИЦИАЛЬНОЕ ОПУБЛИКОВАНИЕ
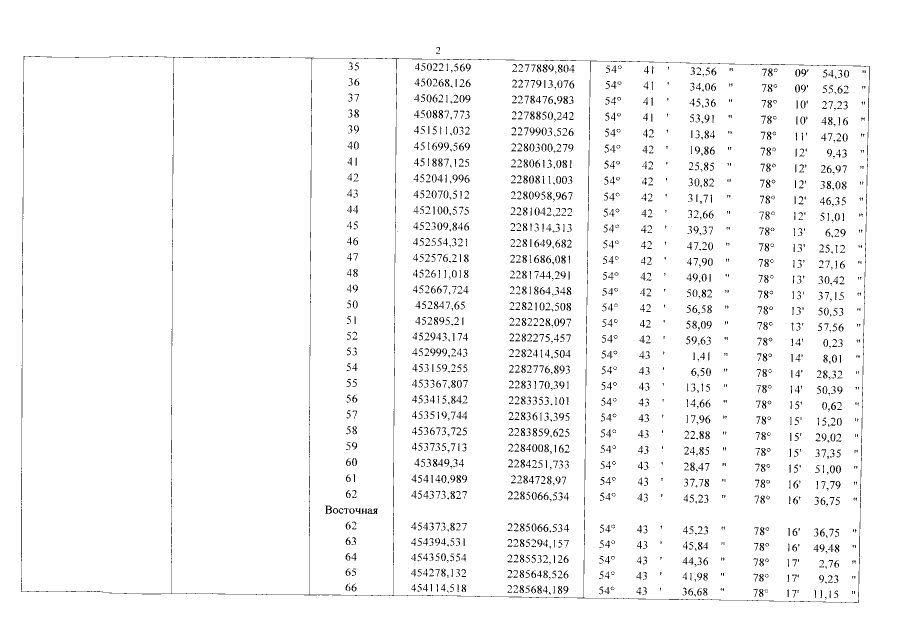
Постановление Правительства Новосибирской области от 04.12.2017 № 434-п
"Об утверждении границ особо охраняемой природной территории регионального значения – государственного природного заказника "Чановский" Новосибирской области"
Номер опубликования: 5400201712060010
Дата опубликования: 06.12.2017
Страница №3 из 23:
Увеличить