Официальное опубликование правовых актов
ОФИЦИАЛЬНОЕ ОПУБЛИКОВАНИЕ
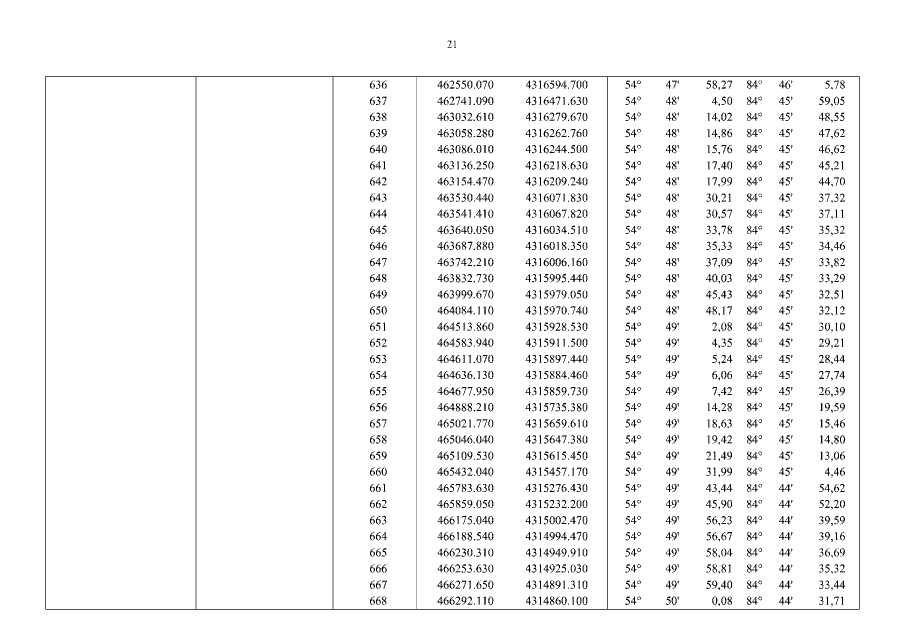
Постановление Правительства Новосибирской области от 10.05.2018 № 188-п
"Об утверждении границ особо охраняемой природной территории регионального значения – государственного природного заказника "Колтыракский" Новосибирской области"
Номер опубликования: 5400201805110001
Дата опубликования: 11.05.2018
Страница №22 из 26:
Увеличить