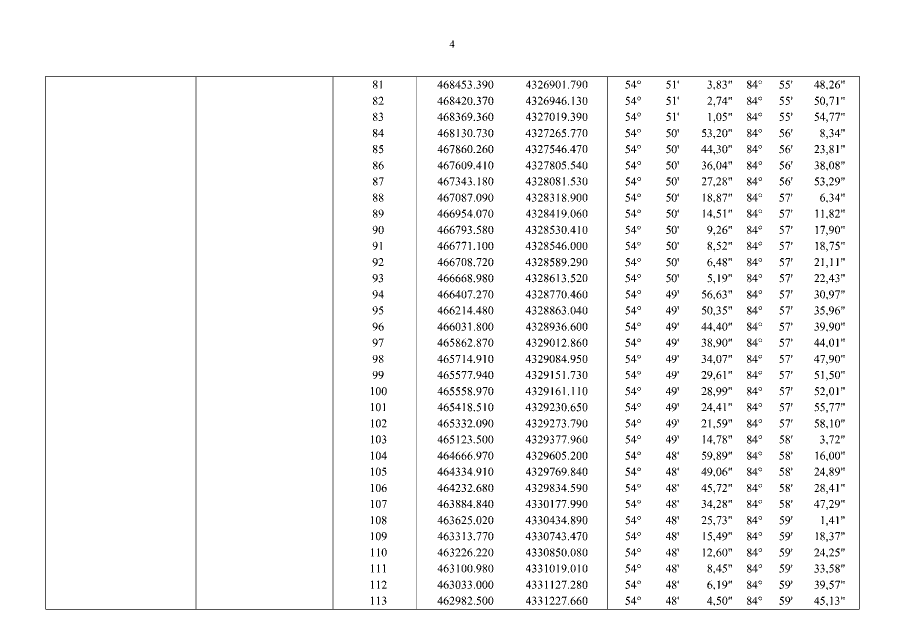
Постановление Правительства Новосибирской области от 10.05.2018 № 188-п
"Об утверждении границ особо охраняемой природной территории регионального значения – государственного природного заказника "Колтыракский" Новосибирской области"
"Об утверждении границ особо охраняемой природной территории регионального значения – государственного природного заказника "Колтыракский" Новосибирской области"
Номер опубликования: 5400201805110001
Дата опубликования:
11.05.2018
