Официальное опубликование правовых актов
ОФИЦИАЛЬНОЕ ОПУБЛИКОВАНИЕ
Постановление Правительства Новосибирской области от 10.05.2018 № 186-п
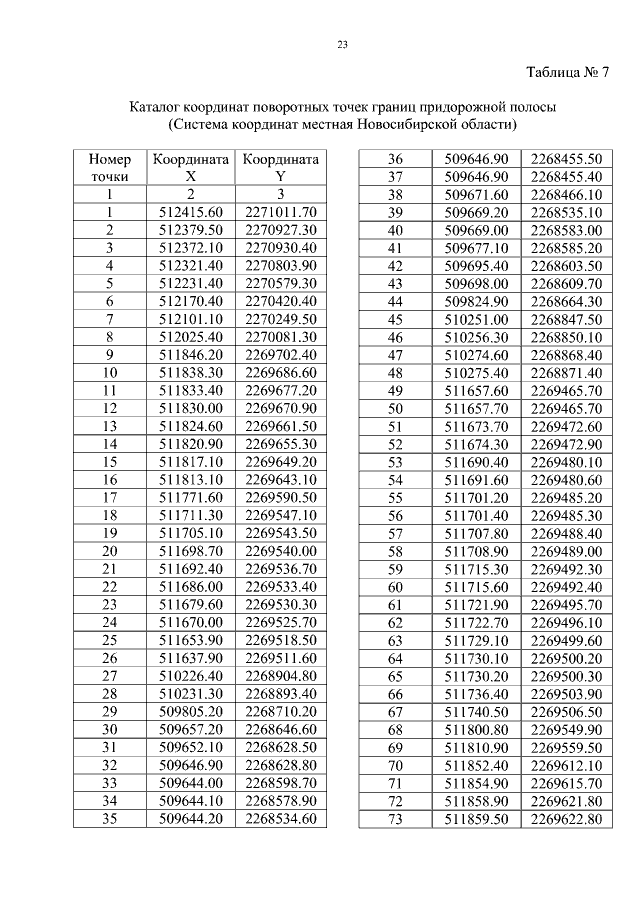
"Об утверждении проекта планировки территории для размещения объекта регионального значения автомобильной дороги межмуниципального значения "Барабинск – Зюзя – Квашнино" на участке км 21+543 – км 32+543 в границах муниципальных образований Шубинский сельсовет и Межозерный сельсовет Барабинского района Новосибирской области и проекта межевания территории в его составе"
Номер опубликования: 5400201805110004
Дата опубликования: 11.05.2018
Страница №42 из 48:
Увеличить