Официальное опубликование правовых актов
ОФИЦИАЛЬНОЕ ОПУБЛИКОВАНИЕ
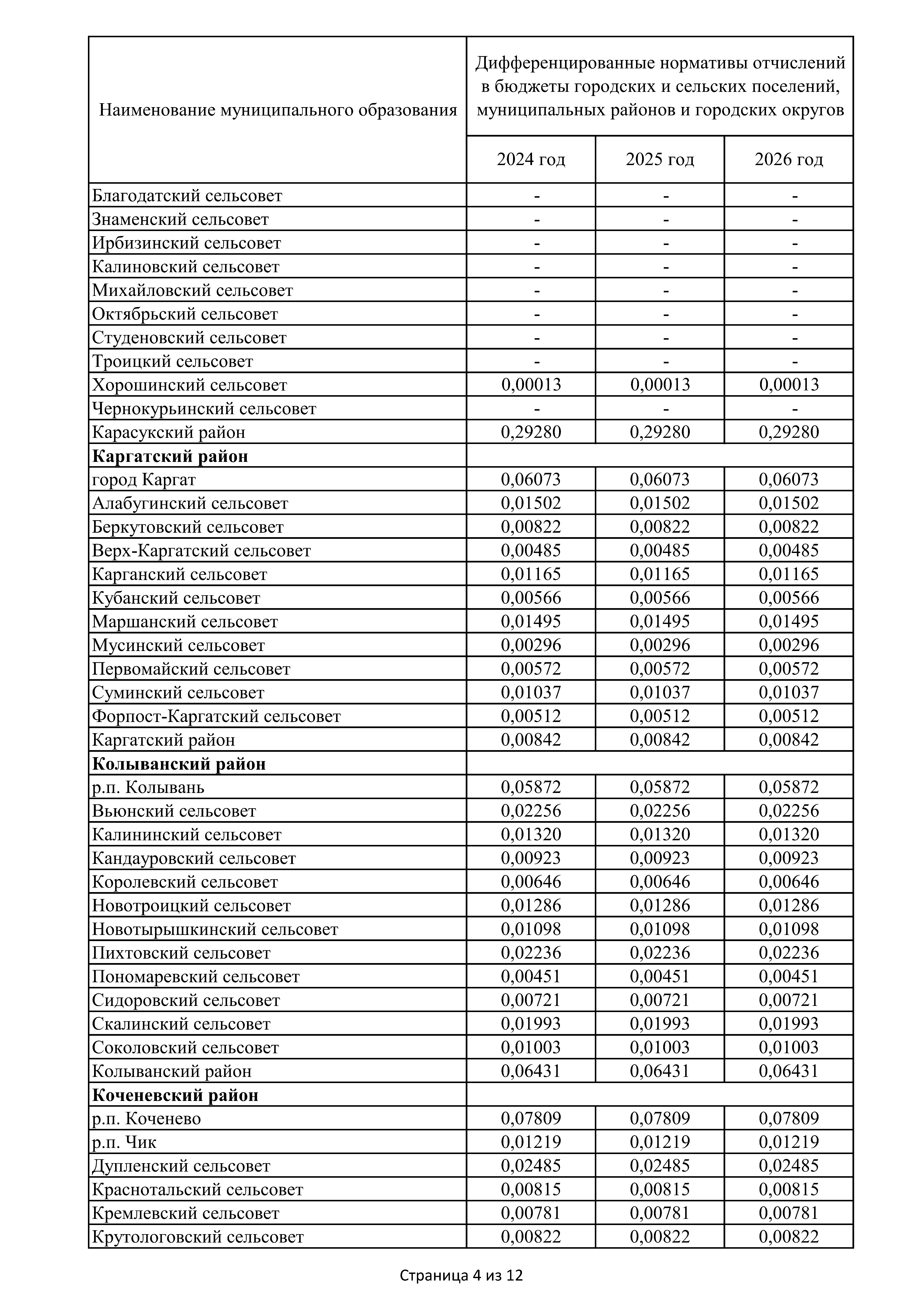
Закон Новосибирской области от 21.12.2023 № 413-ОЗ
"Об областном бюджете Новосибирской области на 2024 год и плановый период 2025 и 2026 годов"
Номер опубликования: 5400202312210017
Дата опубликования: 21.12.2023
Страница №66 из 719: