Официальное опубликование правовых актов
ОФИЦИАЛЬНОЕ ОПУБЛИКОВАНИЕ
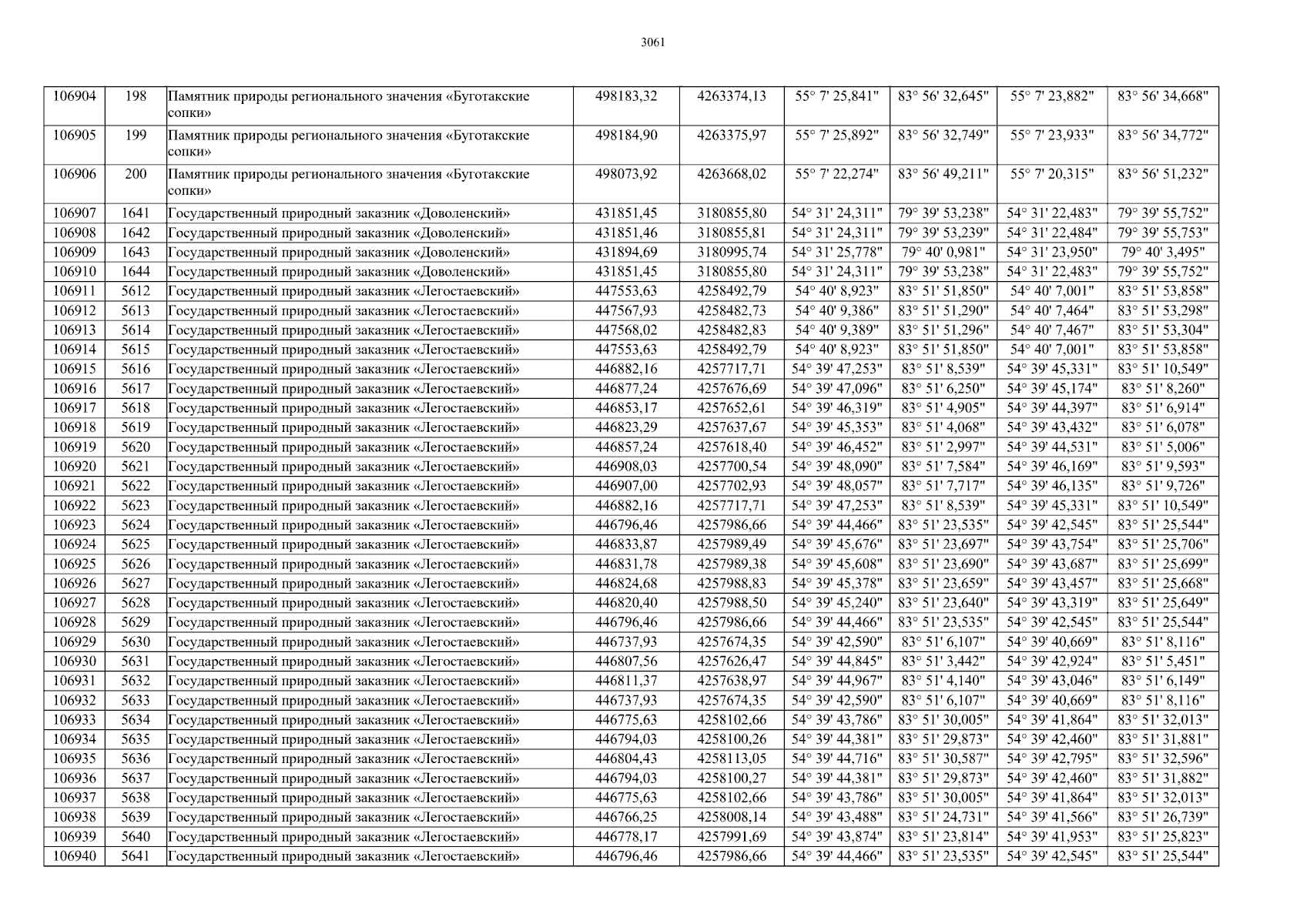
Постановление Губернатора Новосибирской области от 13.02.2025 № 33
"Об утверждении схемы размещения, использования и охраны охотничьих угодий на территории Новосибирской области"
Номер опубликования: 5400202502140004
Дата опубликования: 14.02.2025
Страница №4330 из 4692:
Увеличить