Официальное опубликование правовых актов
ОФИЦИАЛЬНОЕ ОПУБЛИКОВАНИЕ
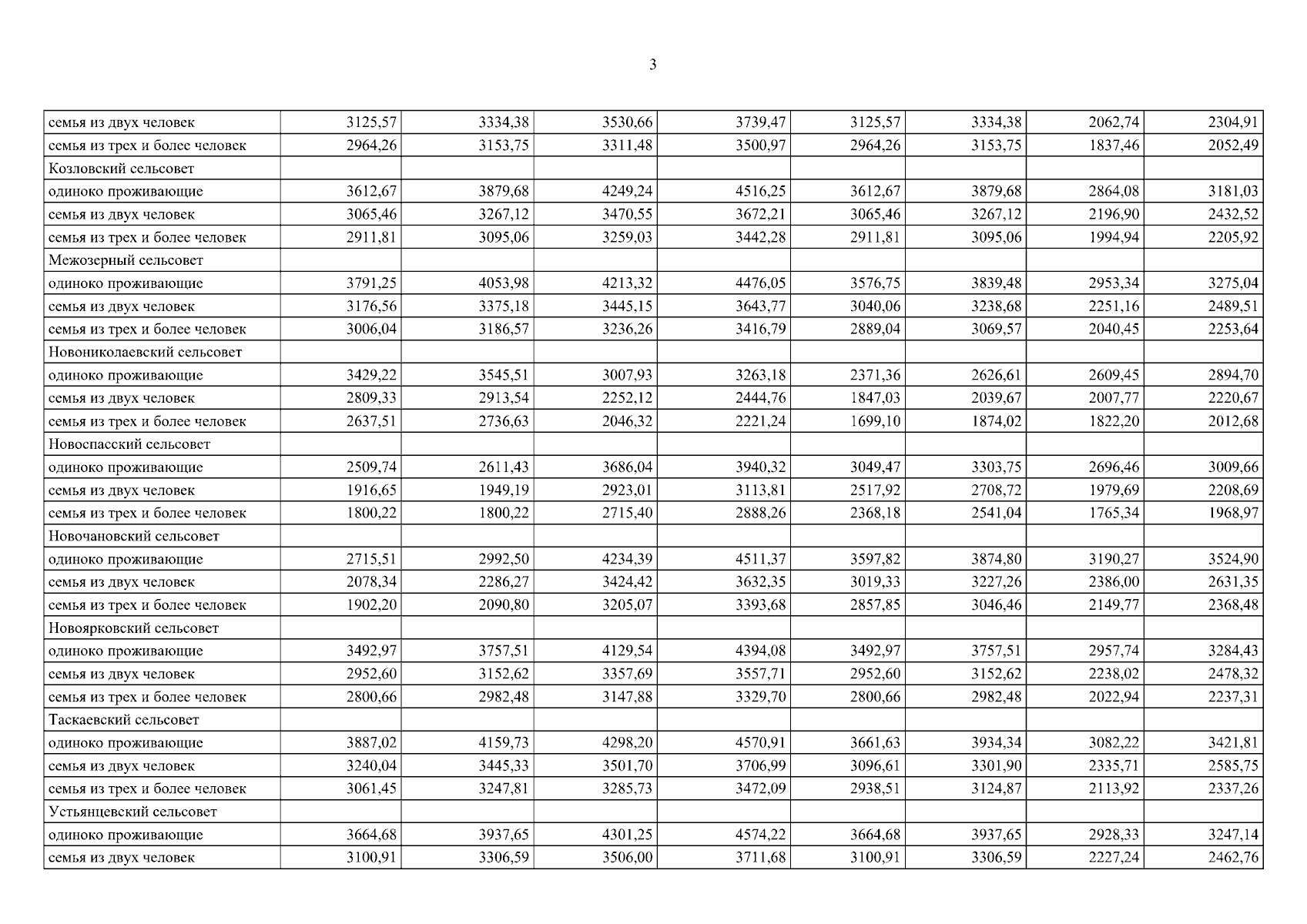
Постановление Губернатора Новосибирской области от 20.03.2025 № 58
"Об установлении размеров региональных стандартов оплаты жилого помещения и коммунальных услуг в Новосибирской области на 2025 год"
Номер опубликования: 5400202503210003
Дата опубликования: 21.03.2025
Страница №5 из 54:
Увеличить