Официальное опубликование правовых актов
ОФИЦИАЛЬНОЕ ОПУБЛИКОВАНИЕ
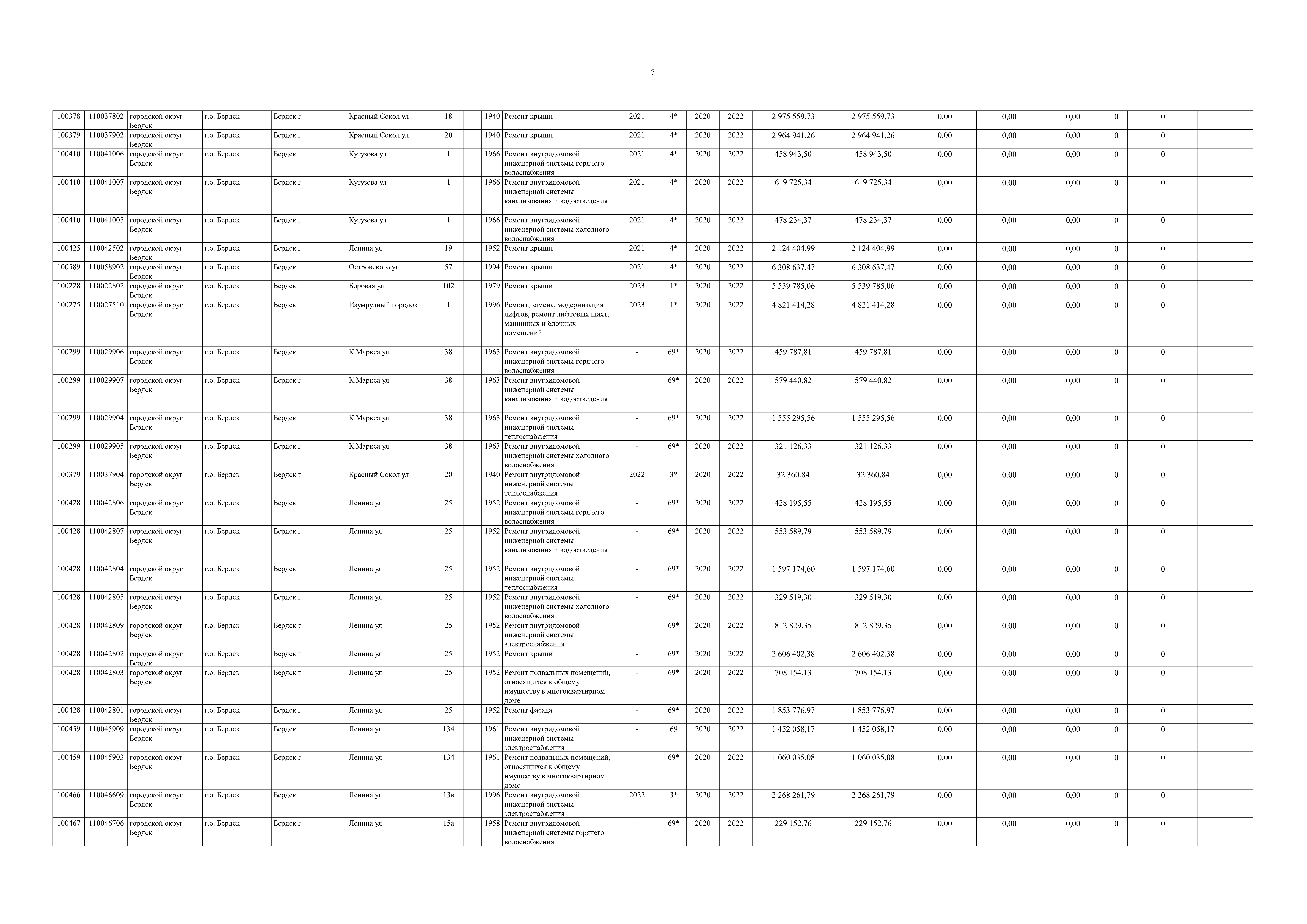
Постановление Правительства Новосибирской области от 30.06.2025 № 280-п
"О внесении изменений в отдельные постановления Правительства Новосибирской области"
Номер опубликования: 5400202507080002
Дата опубликования: 08.07.2025
Страница №9 из 395: