Официальное опубликование правовых актов
ОФИЦИАЛЬНОЕ ОПУБЛИКОВАНИЕ
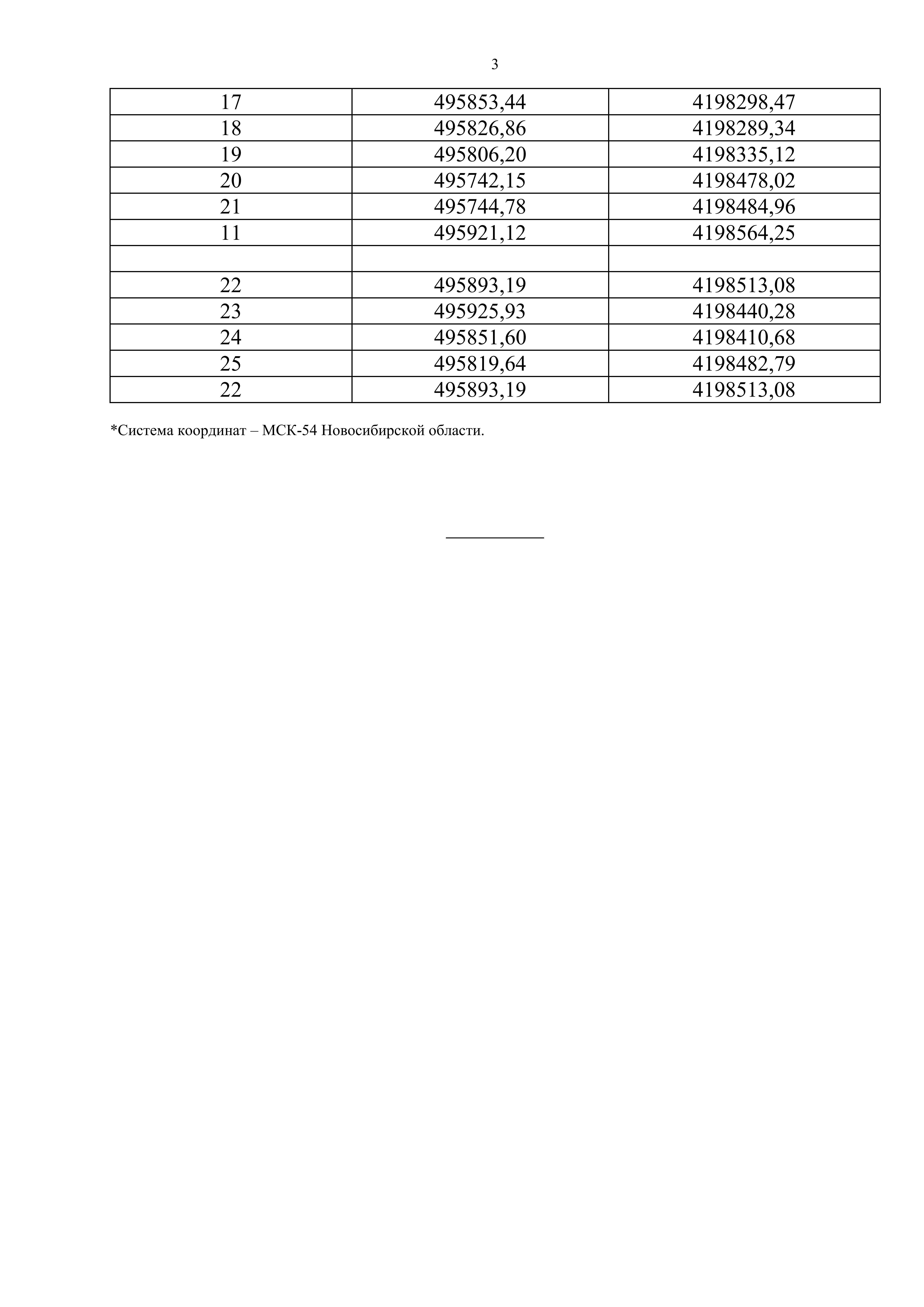
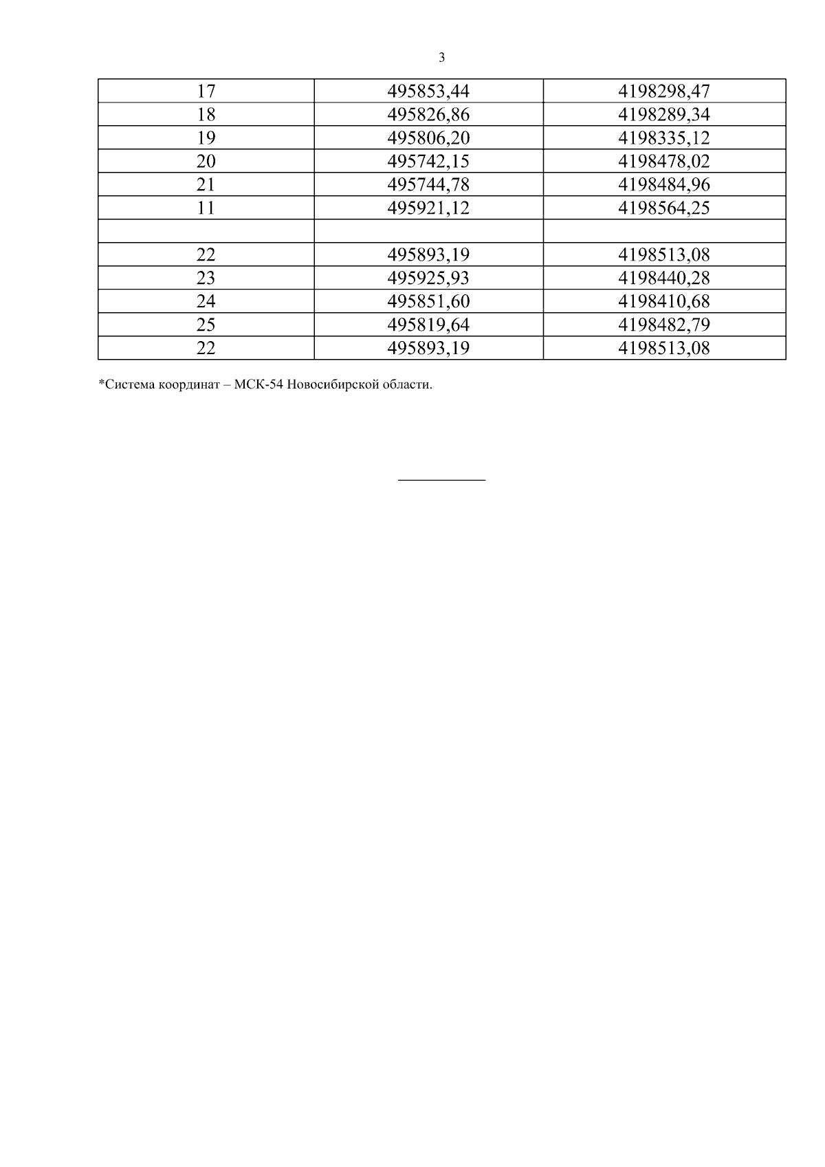
Постановление Правительства Новосибирской области от 09.09.2025 № 421-п
"О комплексном развитии незастроенной территории в Заельцовском районе города Новосибирска Новосибирской области"
Номер опубликования: 5400202509150001
Дата опубликования: 15.09.2025
Страница №5 из 15: