Официальное опубликование правовых актов
ОФИЦИАЛЬНОЕ ОПУБЛИКОВАНИЕ
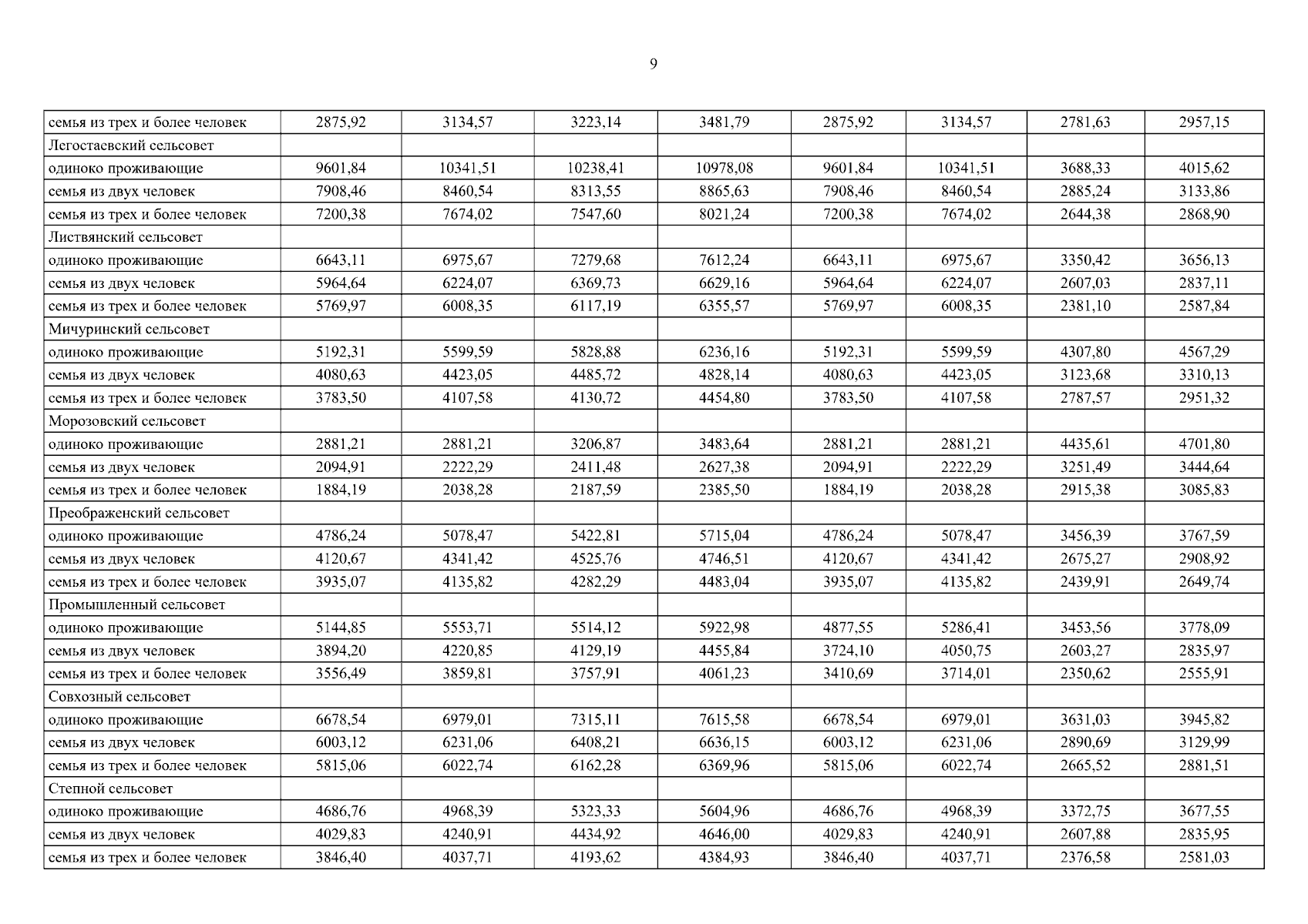
Постановление Губернатора Новосибирской области от 08.04.2026 № 79
"Об установлении размеров региональных стандартов оплаты жилого помещения и коммунальных услуг в Новосибирской области на 2026 год"
Номер опубликования: 5400202604100002
Дата опубликования: 10.04.2026
Страница №11 из 45:
Увеличить