Официальное опубликование правовых актов
ОФИЦИАЛЬНОЕ ОПУБЛИКОВАНИЕ
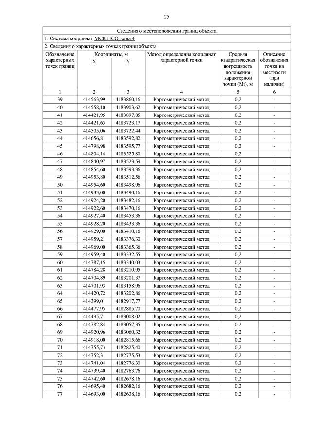
Приказ Министерства строительства Новосибирской области от 08.10.2019 № 571
"Об утверждении генерального плана Преображенского сельсовета Искитимского района Новосибирской области"
Номер опубликования: 5401201910080001
Дата опубликования: 08.10.2019
Страница №37 из 42:
Увеличить