Официальное опубликование правовых актов
ОФИЦИАЛЬНОЕ ОПУБЛИКОВАНИЕ
Приказ Министерства строительства Новосибирской области от 21.06.2024 № 120-НПА
"О внесении изменений в приказ министерства строительства Новосибирской области от 04.07.2022 № 391"
(Зарегистрирован 21.06.2024 № 120-НПА)
Номер опубликования: 5401202406240003
Дата опубликования: 24.06.2024
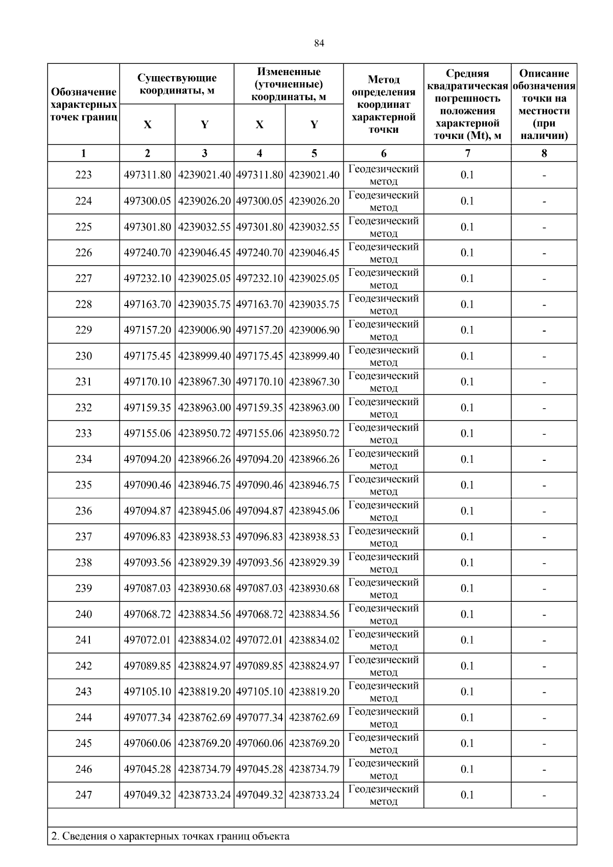
Страница №100 из 129:
Увеличить