Официальное опубликование правовых актов
ОФИЦИАЛЬНОЕ ОПУБЛИКОВАНИЕ
Приказ Министерства строительства Новосибирской области от 10.07.2025 № 94-НПА
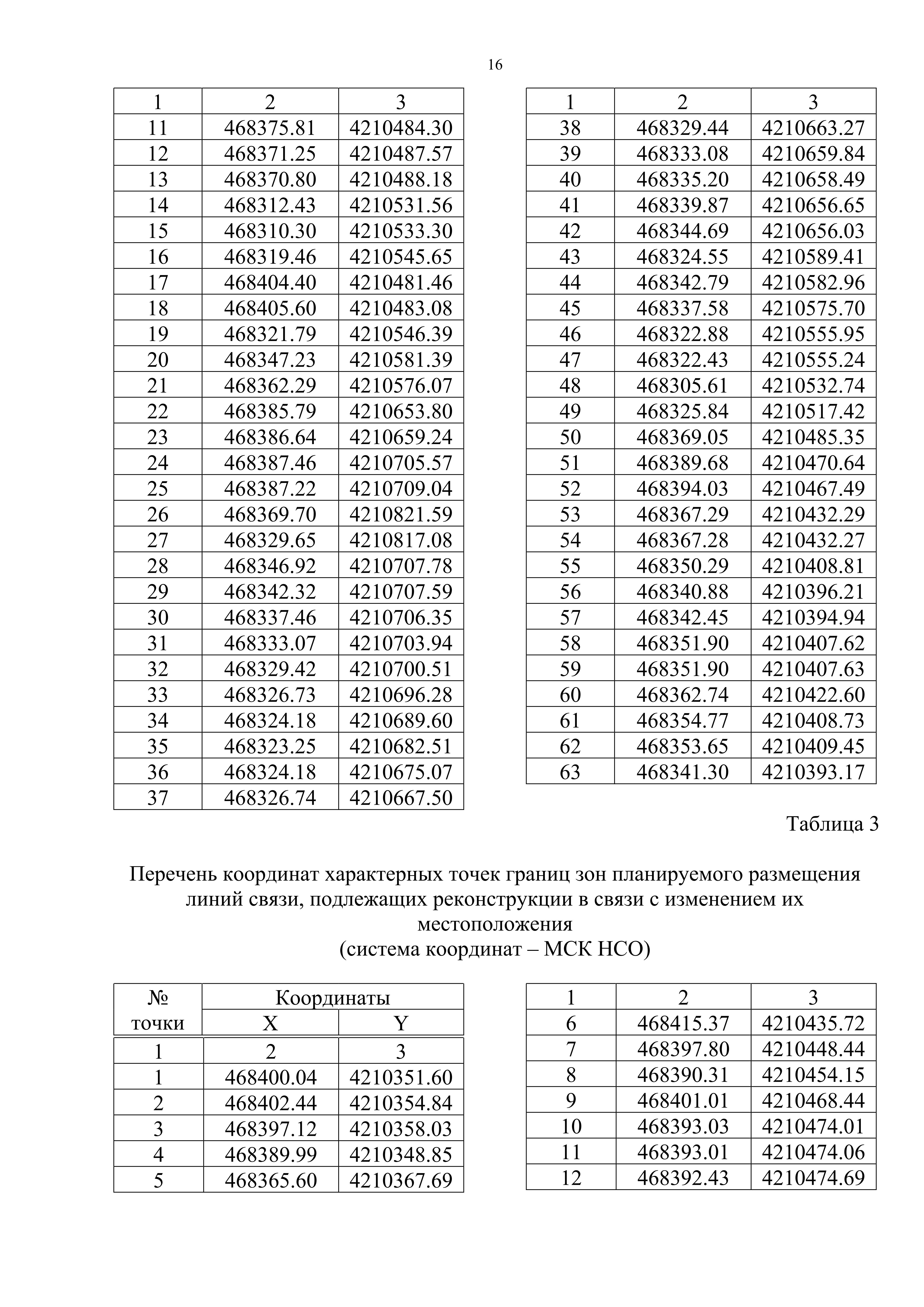
"Об утверждении проекта планировки территории для размещения объекта регионального значения: "Сети электроснабжения, возводимые в рамках реализации масштабного инвестиционного проекта "Развитие инфраструктуры Технопарка на период 2021-2027" 4 этап". Реконструкция ВЛ 110 кВ Заречная – Научная I, II цепь с отпайками (Ю-3/4) на участке от ПС 220 кВ Научная до опоры № 3" в границах Советского района города Новосибирска Новосибирской области и проекта межевания территории в его составе"
(Зарегистрирован 10.07.2025 № 94-НПА)
Номер опубликования: 5401202507100002
Дата опубликования: 10.07.2025
Страница №17 из 38: