Официальное опубликование правовых актов
ОФИЦИАЛЬНОЕ ОПУБЛИКОВАНИЕ
Приказ Министерства строительства Новосибирской области от 16.12.2025 № 177-НПА
"О внесении изменения в приказ министерства строительства Новосибирской области от 21.09.2020 № 496"
(Зарегистрирован 16.12.2025 № 177-НПА)
Номер опубликования: 5401202512160004
Дата опубликования: 16.12.2025
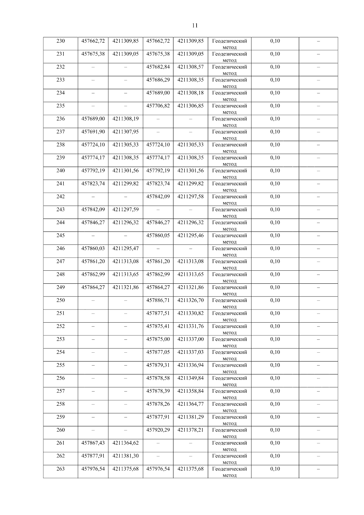
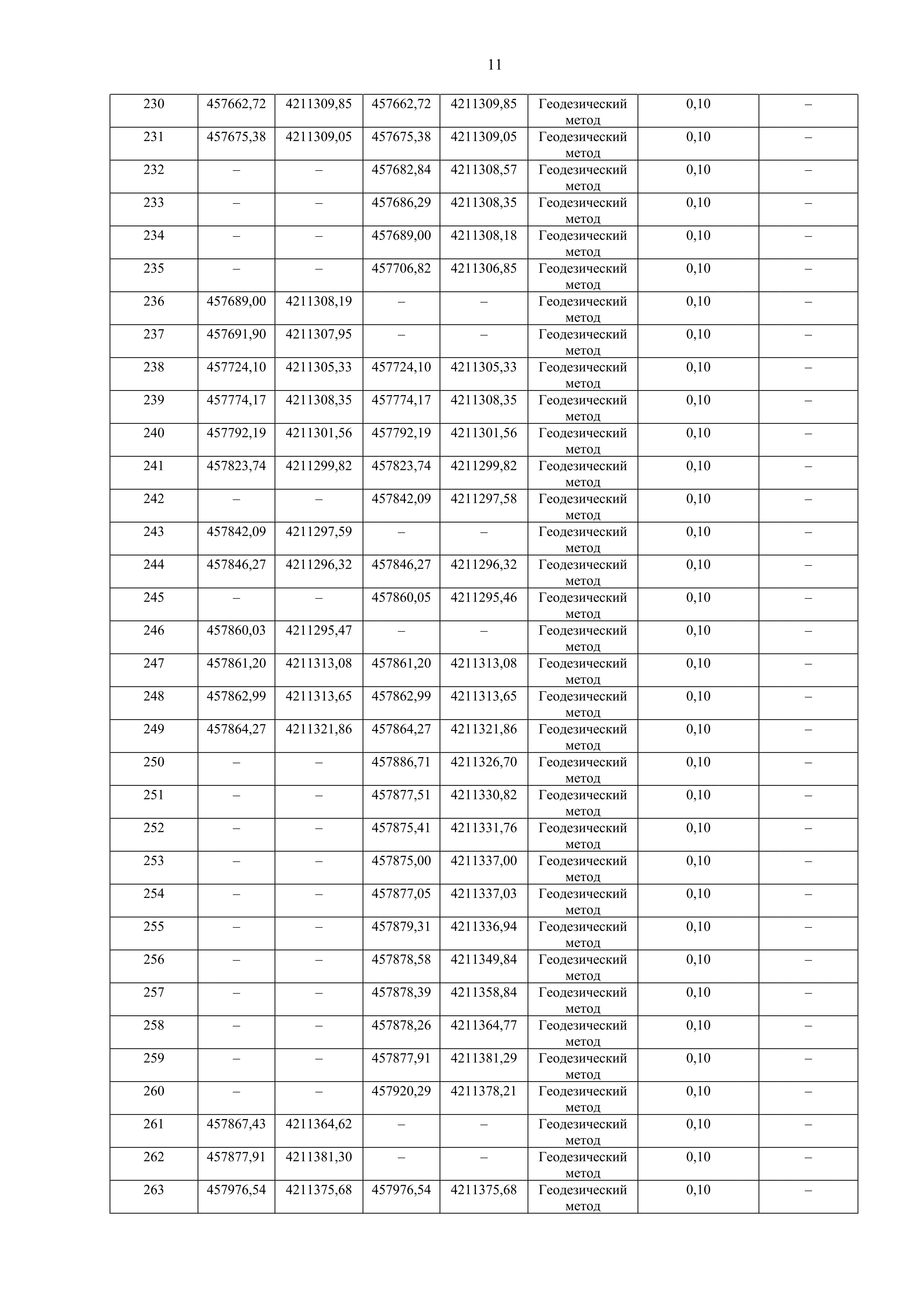
Страница №36 из 78: