Официальное опубликование правовых актов
ОФИЦИАЛЬНОЕ ОПУБЛИКОВАНИЕ
Приказ Министерства строительства Новосибирской области от 16.12.2025 № 178-НПА
"О внесении изменения в приказ министерства строительства Новосибирской области от 05.02.2020 № 54"
(Зарегистрирован 16.12.2025 № 178-НПА)
Номер опубликования: 5401202512160005
Дата опубликования: 16.12.2025
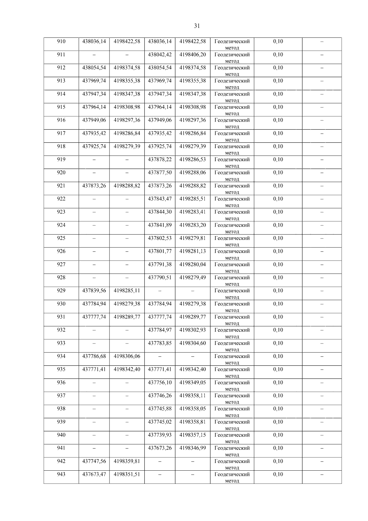
Страница №49 из 88:
Увеличить