Официальное опубликование правовых актов
ОФИЦИАЛЬНОЕ ОПУБЛИКОВАНИЕ
Приказ Министерства строительства Новосибирской области от 23.12.2025 № 195-НПА
"О внесении изменения в приказ министерства строительства Новосибирской области от 10.07.2025 № 94-НПА"
(Зарегистрирован 23.12.2025 № 195-НПА)
Номер опубликования: 5401202512230004
Дата опубликования: 23.12.2025
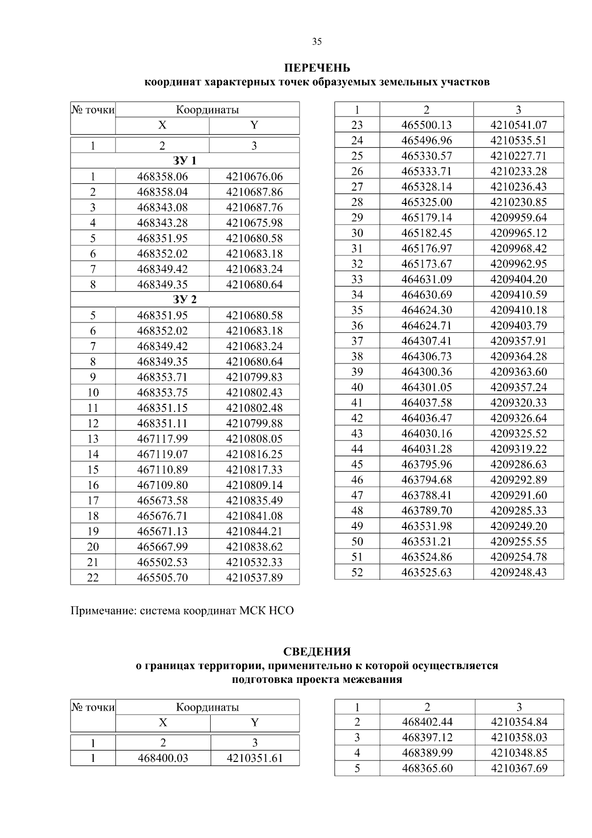
Страница №37 из 39:
Увеличить