Официальное опубликование правовых актов
ОФИЦИАЛЬНОЕ ОПУБЛИКОВАНИЕ
Приказ Департамента по тарифам Новосибирской области от 26.02.2026 № 20-Г/НПА
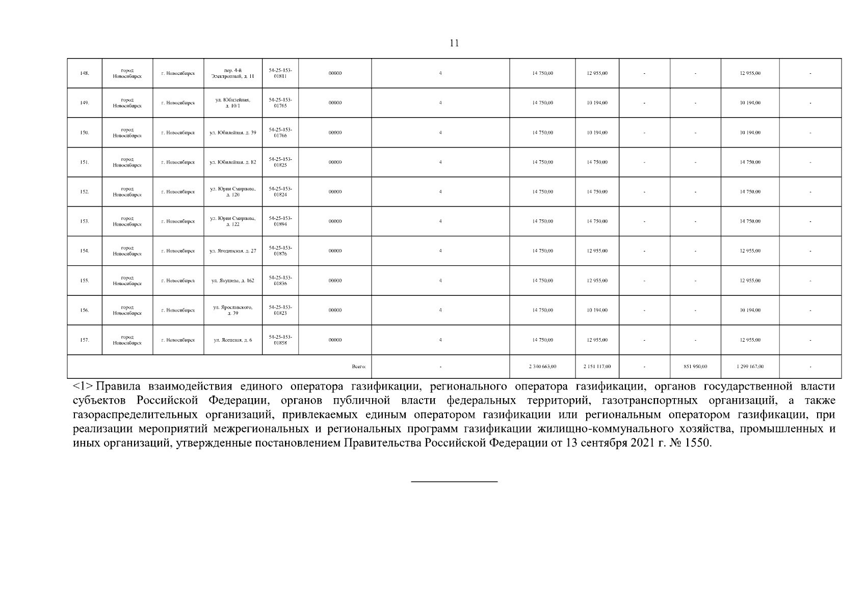
"Об утверждении размера экономически обоснованных расходов Акционерного общества "Городские газовые сети" на выполнение мероприятий по подключению (технологическому присоединению) газоиспользующего оборудования к газораспределительным сетям в рамках догазификации и в рамках догазификации котельных за декабрь 2025 года"
(Зарегистрирован 26.02.2026 № 20-Г/НПА)
Номер опубликования: 5401202603050002
Дата опубликования: 05.03.2026
Страница №13 из 13:
Увеличить