Официальное опубликование правовых актов
ОФИЦИАЛЬНОЕ ОПУБЛИКОВАНИЕ
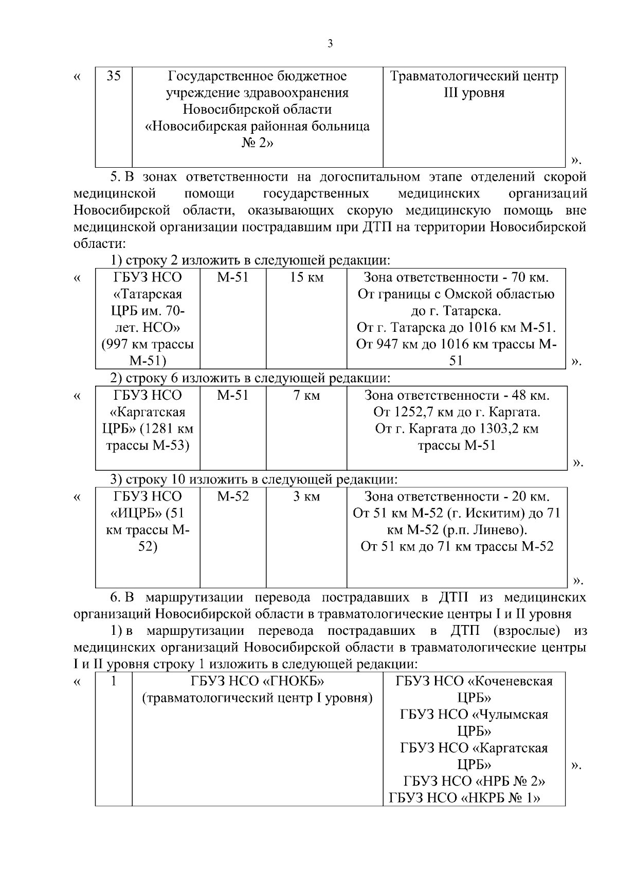
Приказ Министерства здравоохранения Новосибирской области от 16.03.2026 № 657-НПА
"О внесении изменений в приказ министерства здравоохранения Новосибирской области от 29.10.2018 № 3392"
(Зарегистрирован 16.03.2026 № 657-НПА)
Номер опубликования: 5401202603170002
Дата опубликования: 17.03.2026
Страница №3 из 4:
Увеличить