Официальное опубликование правовых актов
ОФИЦИАЛЬНОЕ ОПУБЛИКОВАНИЕ
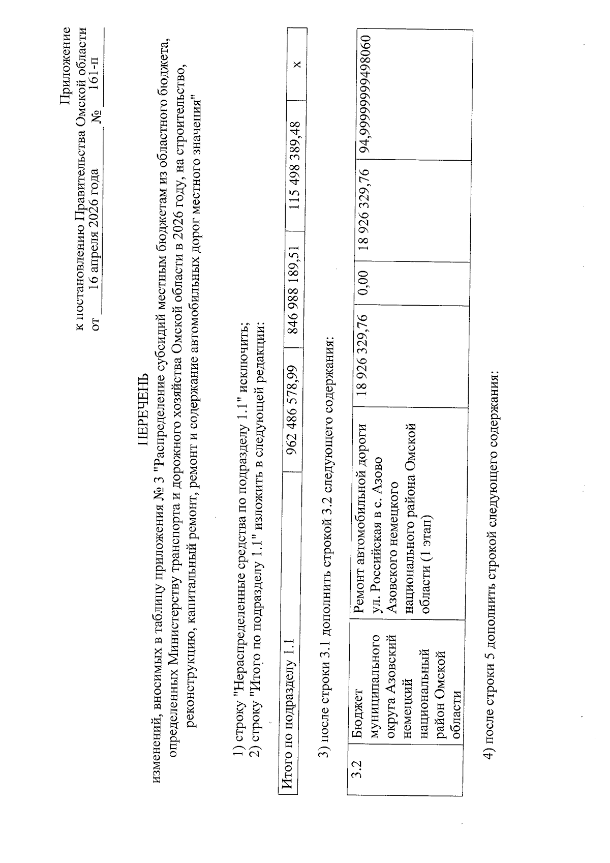
Постановление Правительства Омской области от 16.04.2026 № 161-п
"О внесении изменений в постановление Правительства Омской области от 18 января 2024 года № 13-п"
Номер опубликования: 5500202604170004
Дата опубликования: 17.04.2026
Страница №2 из 5:
Увеличить