Официальное опубликование правовых актов
ОФИЦИАЛЬНОЕ ОПУБЛИКОВАНИЕ
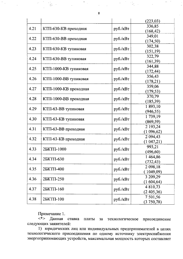
Приказ Региональной энергетической комиссии Омской области от 29.12.2015 № 863/81
"Об установлении ставок платы за технологическое присоединение к электрическим сетям Общества с ограниченной ответственностью "Трансэнерго"
Номер опубликования: 5501201512310002
Дата опубликования: 31.12.2015
Страница №8 из 16:
Увеличить