Официальное опубликование правовых актов
ОФИЦИАЛЬНОЕ ОПУБЛИКОВАНИЕ
Приказ Министерства экономики Омской области от 28.09.2016 № 71
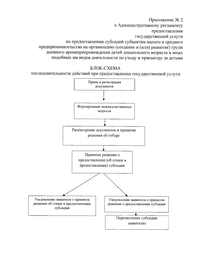
"Об утверждении административного регламента предоставления государственной услуги по предоставлению субсидий субъектам малого и среднего предпринимательства на организацию (создание и (или) развитие) дневного времяпрепровождения детей дошкольного возраста и иных подобных им видов деятельности по уходу и присмотру за детьми"
Номер опубликования: 5501201609290003
Дата опубликования: 29.09.2016
Страница №40 из 40:
Увеличить