Официальное опубликование правовых актов
ОФИЦИАЛЬНОЕ ОПУБЛИКОВАНИЕ
Приказ Министерства строительства Омской области от 19.08.2024 № 29-п
"О внесении изменений в приказ Министерства строительства Омской области от 14 февраля 2024 года № 6-п"
(Зарегистрирован 20.08.2024 № 3643)
Номер опубликования: 5501202408200003
Дата опубликования: 20.08.2024
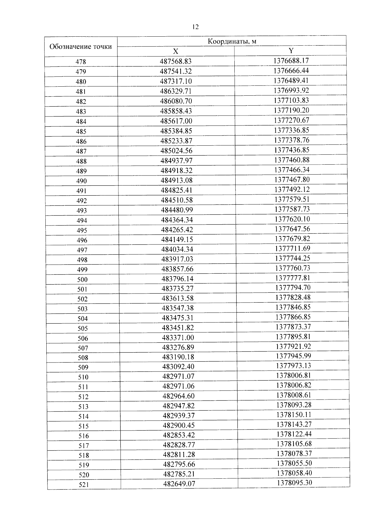
Страница №479 из 522:
Увеличить