Официальное опубликование правовых актов
ОФИЦИАЛЬНОЕ ОПУБЛИКОВАНИЕ
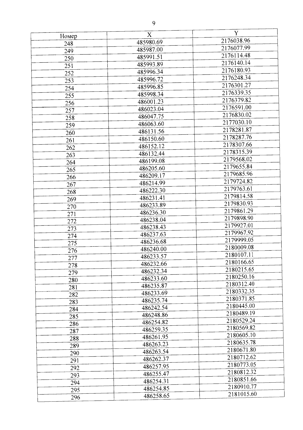
Приказ Министерства строительства Омской области от 20.10.2024 № 41-п
"О внесении изменений в приказ Министерства строительства, транспорта и дорожного хозяйства Омской области от 25 ноября 2020 года № 126-п"
(Зарегистрирован 21.10.2024 № 3963)
Номер опубликования: 5501202410210008
Дата опубликования: 21.10.2024
Страница №29 из 68:
Увеличить