Официальное опубликование правовых актов
ОФИЦИАЛЬНОЕ ОПУБЛИКОВАНИЕ
Приказ Региональной энергетической комиссии Омской области от 19.12.2024 № 420/82
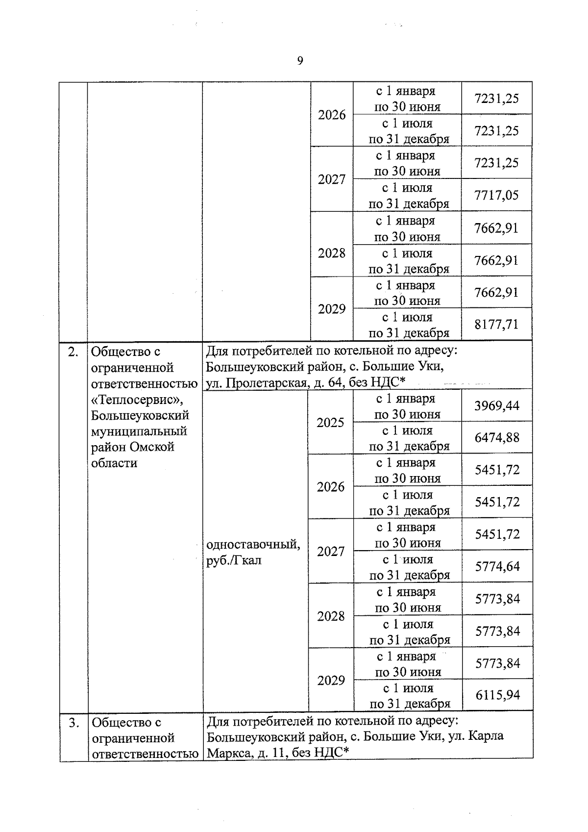
"Об установлении тарифов на тепловую энергию, поставляемую потребителям Общества с ограниченной ответственностью "Теплосервис", Большеуковский муниципальный район Омской области, на 2025-2029 годы"
(Зарегистрирован 21.12.2024 № 4524)
Номер опубликования: 5501202412230008
Дата опубликования: 23.12.2024
Страница №9 из 14:
Увеличить