Официальное опубликование правовых актов
ОФИЦИАЛЬНОЕ ОПУБЛИКОВАНИЕ
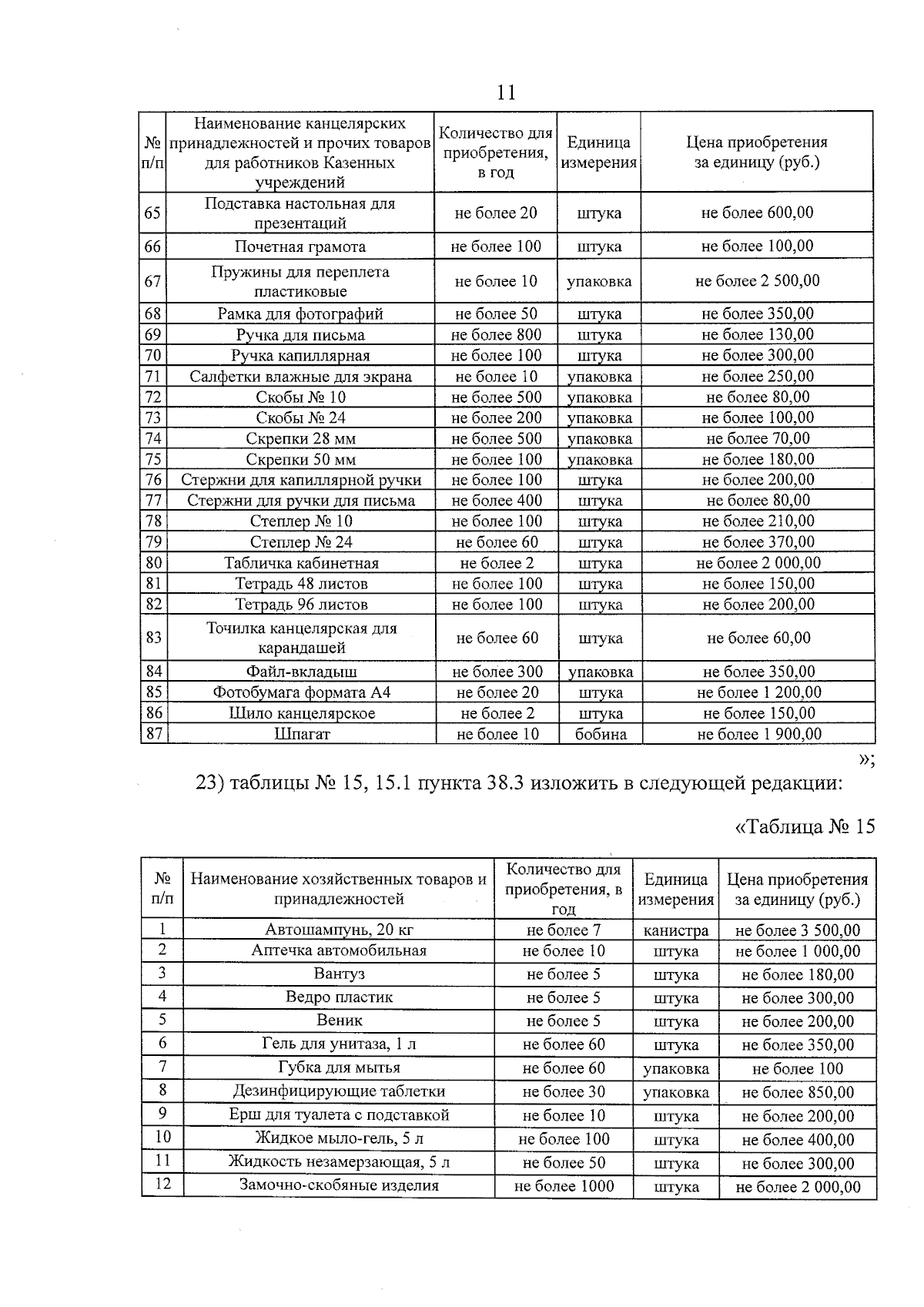
Приказ Министерства финансов Омской области от 07.10.2025 № 87
"О внесении изменений в приказ Министерства финансов Омской области от 22 декабря 2017 года № 74"
(Зарегистрирован 07.10.2025 № 6226)
Номер опубликования: 5501202510070004
Дата опубликования: 07.10.2025
Страница №11 из 36:
Увеличить