Официальное опубликование правовых актов
ОФИЦИАЛЬНОЕ ОПУБЛИКОВАНИЕ
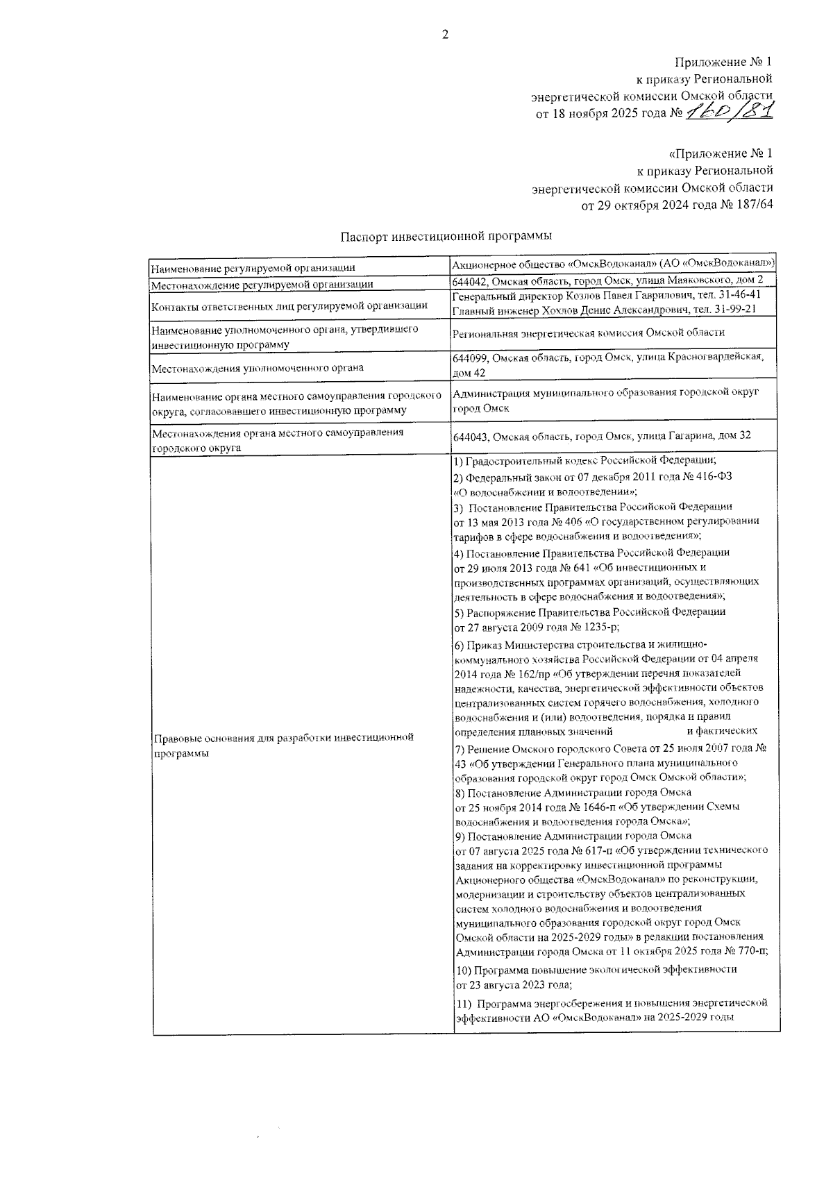
Приказ Региональной энергетической комиссии Омской области от 18.11.2025 № 160/81
"О внесении изменений в приказ Региональной энергетической комиссии Омской области от 29 октября 2024 года № 187/64"
(Зарегистрирован 19.11.2025 № 6443)
Номер опубликования: 5501202511190001
Дата опубликования: 19.11.2025
Страница №2 из 17:
Увеличить