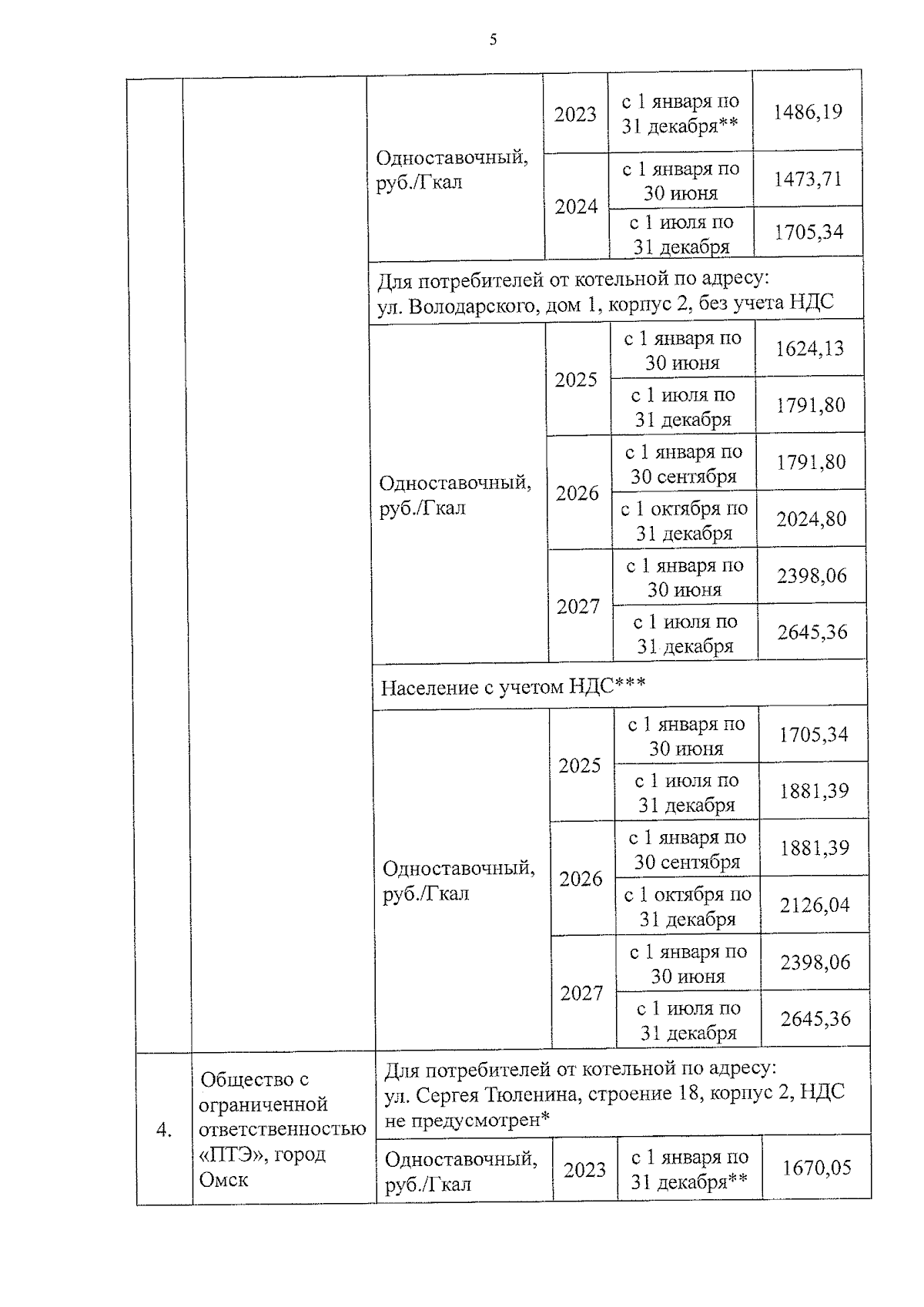
Приказ Региональной энергетической комиссии Омской области от 11.12.2025 № 213/88
"О корректировке на 2026 год тарифов на тепловую энергию, поставляемую потребителям Общества с ограниченной ответственностью "ПТЭ", установленных на долгосрочный период регулирования"
(Зарегистрирован 15.12.2025 № 6614)
"О корректировке на 2026 год тарифов на тепловую энергию, поставляемую потребителям Общества с ограниченной ответственностью "ПТЭ", установленных на долгосрочный период регулирования"
(Зарегистрирован 15.12.2025 № 6614)
Номер опубликования: 5501202512150011
Дата опубликования:
15.12.2025
