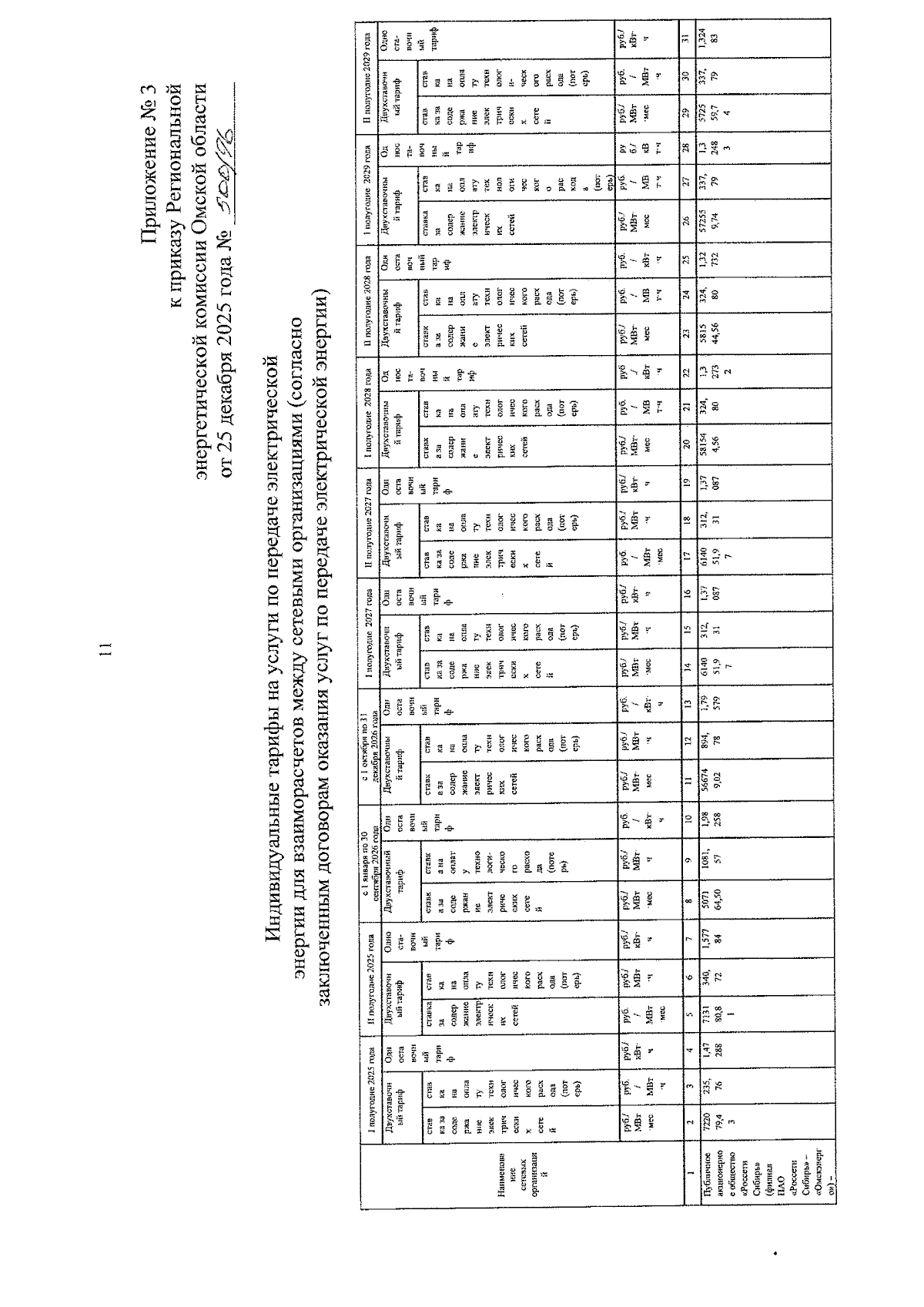
Приказ Региональной энергетической комиссии Омской области от 25.12.2025 № 500/96
"Об утверждении необходимой валовой выручки, долгосрочных параметров и индивидуальных тарифов на услуги по передаче электрической энергии для территориальных сетевых организаций в Омской области"
(Зарегистрирован 29.12.2025 № 7034)
"Об утверждении необходимой валовой выручки, долгосрочных параметров и индивидуальных тарифов на услуги по передаче электрической энергии для территориальных сетевых организаций в Омской области"
(Зарегистрирован 29.12.2025 № 7034)
Номер опубликования: 5501202512290028
Дата опубликования:
29.12.2025
