Официальное опубликование правовых актов
ОФИЦИАЛЬНОЕ ОПУБЛИКОВАНИЕ
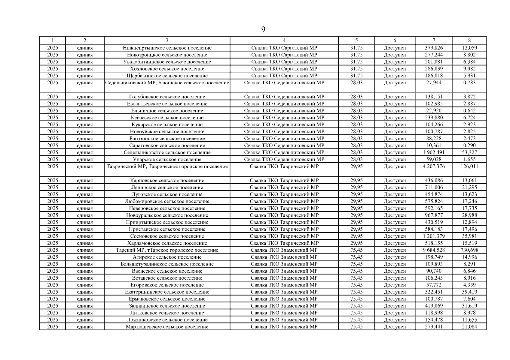
Приказ Министерства природных ресурсов и экологии Омской области от 26.01.2026 № 2
"Об утверждении территориальной схемы обращения с отходами производства и потребления в Омской области и признании утратившими силу отдельных приказов Министерства природных ресурсов и экологии Омской области"
(Зарегистрирован 27.01.2026 № 7180)
Номер опубликования: 5501202601270009
Дата опубликования: 27.01.2026
Страница №676 из 837:
Увеличить