Официальное опубликование правовых актов
ОФИЦИАЛЬНОЕ ОПУБЛИКОВАНИЕ
Приказ Министерства экономического развития Омской области от 30.01.2026 № 2
"О внесении изменения в приказ Министерства экономического развития Омской области от 23 января 2025 года № 5 "О работе с обращениями граждан в Министерстве экономического развития Омской области"
(Зарегистрирован 30.01.2026 № 7204)
Номер опубликования: 5501202601300007
Дата опубликования: 30.01.2026
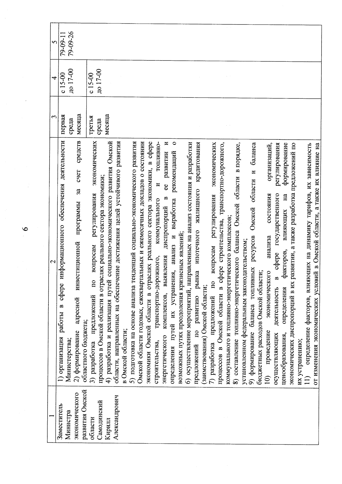
Страница №7 из 15:
Увеличить