Официальное опубликование правовых актов
ОФИЦИАЛЬНОЕ ОПУБЛИКОВАНИЕ
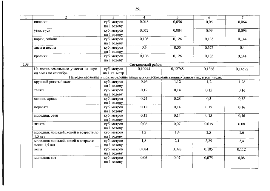
Постановление Правительства Оренбургской области от 07.07.2015 № 527-п
"О внесении изменений в постановление Правительства Оренбургской области от 17 августа 2012 года № 686-п"
Номер опубликования: 5600201507140004
Дата опубликования: 14.07.2015
Страница №251 из 283:
Увеличить