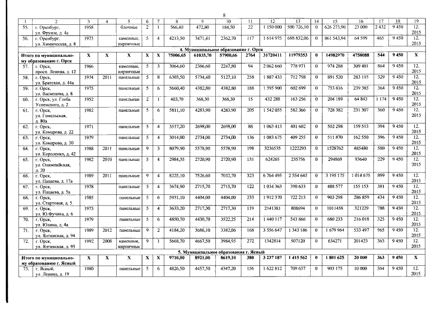
Постановление Правительства Оренбургской области от 10.07.2015 № 546-п
"О внесении изменения в постановление Правительства Оренбургской области от 20 июня 2014 года № 404-п"
"О внесении изменения в постановление Правительства Оренбургской области от 20 июня 2014 года № 404-п"
Номер опубликования: 5600201507160007
Дата опубликования:
16.07.2015
