Официальное опубликование правовых актов
ОФИЦИАЛЬНОЕ ОПУБЛИКОВАНИЕ
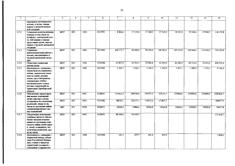
Постановление Правительства Оренбургской области от 24.09.2015 № 737-пп
"О внесении изменений в постановление Правительства Оренбургской области от 30 августа 2013 года № 734-пп"
Номер опубликования: 5600201510010002
Дата опубликования: 01.10.2015
Страница №25 из 27:
Увеличить