Официальное опубликование правовых актов
ОФИЦИАЛЬНОЕ ОПУБЛИКОВАНИЕ
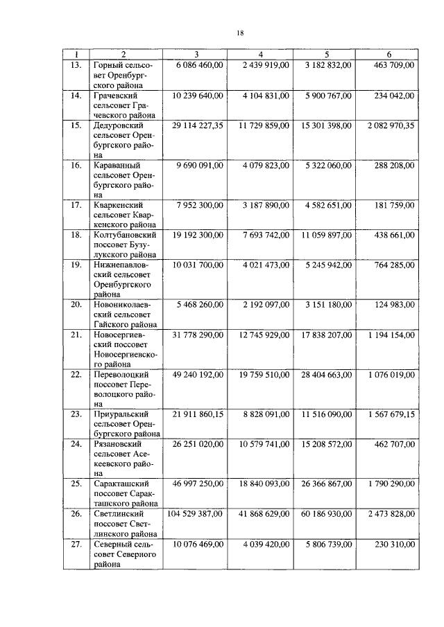
Постановление Правительства Оренбургской области от 25.08.2017 № 615-пп
"О внесении изменения в постановление Правительства Оренбургской области от 15 мая 2013 года № 378-пп"
Номер опубликования: 5600201708310001
Дата опубликования: 31.08.2017
Страница №18 из 193:
Увеличить