Официальное опубликование правовых актов
ОФИЦИАЛЬНОЕ ОПУБЛИКОВАНИЕ
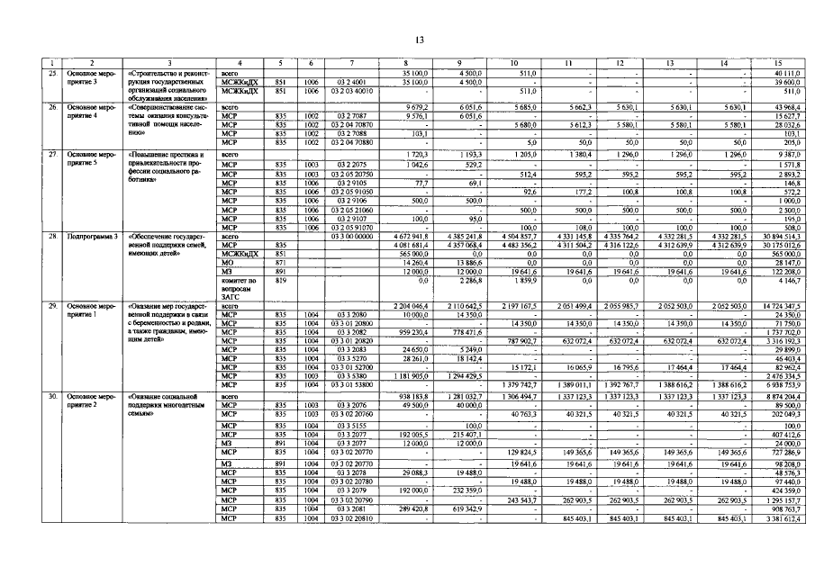
Постановление Правительства Оренбургской области от 13.09.2017 № 667-пп
"О внесении изменений в постановление Правительства Оренбургской области от 30 августа 2013 года № 734-пп"
Номер опубликования: 5600201709190001
Дата опубликования: 19.09.2017
Страница №13 из 22:
Увеличить