Официальное опубликование правовых актов
ОФИЦИАЛЬНОЕ ОПУБЛИКОВАНИЕ
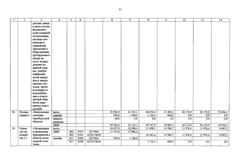
Постановление Правительства Оренбургской области от 25.09.2017 № 690-пп
"О внесении изменений в постановление Правительства Оренбургской области от 28 июня 2013 года № 553-пп"
Номер опубликования: 5600201710020001
Дата опубликования: 02.10.2017
Страница №23 из 38:
Увеличить