Официальное опубликование правовых актов
ОФИЦИАЛЬНОЕ ОПУБЛИКОВАНИЕ
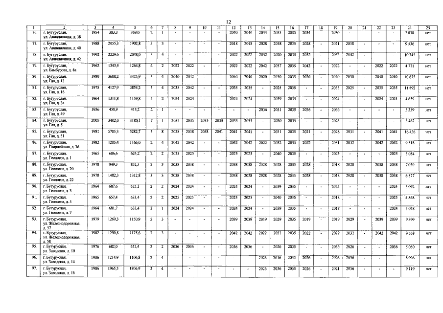
Постановление Правительства Оренбургской области от 12.10.2017 № 735-пп
"О внесении изменений в постановление Правительства Оренбургской области от 30.12.2013 № 1263-пп"
Номер опубликования: 5600201710180006
Дата опубликования: 18.10.2017
Страница №12 из 487:
Увеличить