Официальное опубликование правовых актов
ОФИЦИАЛЬНОЕ ОПУБЛИКОВАНИЕ
Постановление Правительства Оренбургской области от 27.11.2017 № 838-п
"О внесении изменений в постановление Правительства Оренбургской области от 19 октября 2011 года № 1015-п"
Номер опубликования: 5600201711290006
Дата опубликования: 29.11.2017
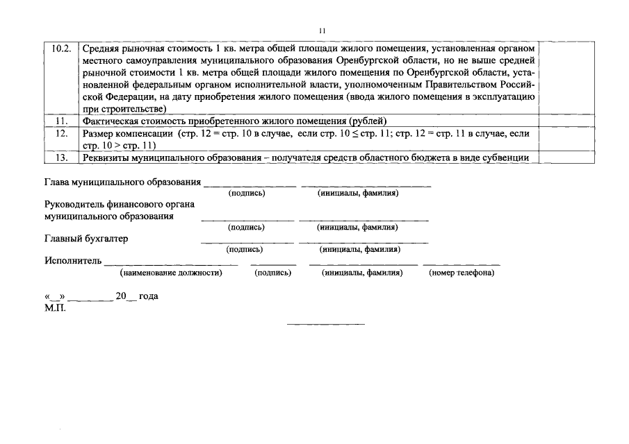
Страница №11 из 13:
Увеличить