Официальное опубликование правовых актов
ОФИЦИАЛЬНОЕ ОПУБЛИКОВАНИЕ
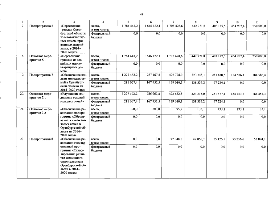
Постановление Правительства Оренбургской области от 29.12.2017 № 984-пп
"О внесении изменения в постановление Правительства Оренбургской области от 30 августа 2013 года № 737-пп"
Номер опубликования: 5600201801040001
Дата опубликования: 04.01.2018
Страница №48 из 183:
Увеличить