Официальное опубликование правовых актов
ОФИЦИАЛЬНОЕ ОПУБЛИКОВАНИЕ
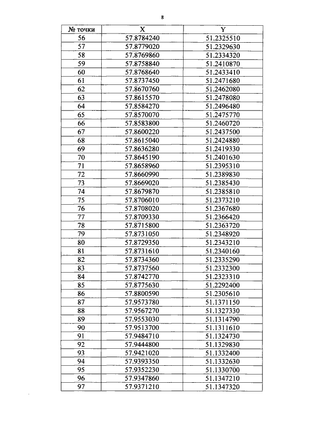
Постановление Правительства Оренбургской области от 29.03.2018 № 186-п "О государственном природном заказнике областного значения "Губерлинские горы"
Номер опубликования: 5600201804040001
Дата опубликования: 04.04.2018
Страница №8 из 28:
Увеличить