Официальное опубликование правовых актов
ОФИЦИАЛЬНОЕ ОПУБЛИКОВАНИЕ
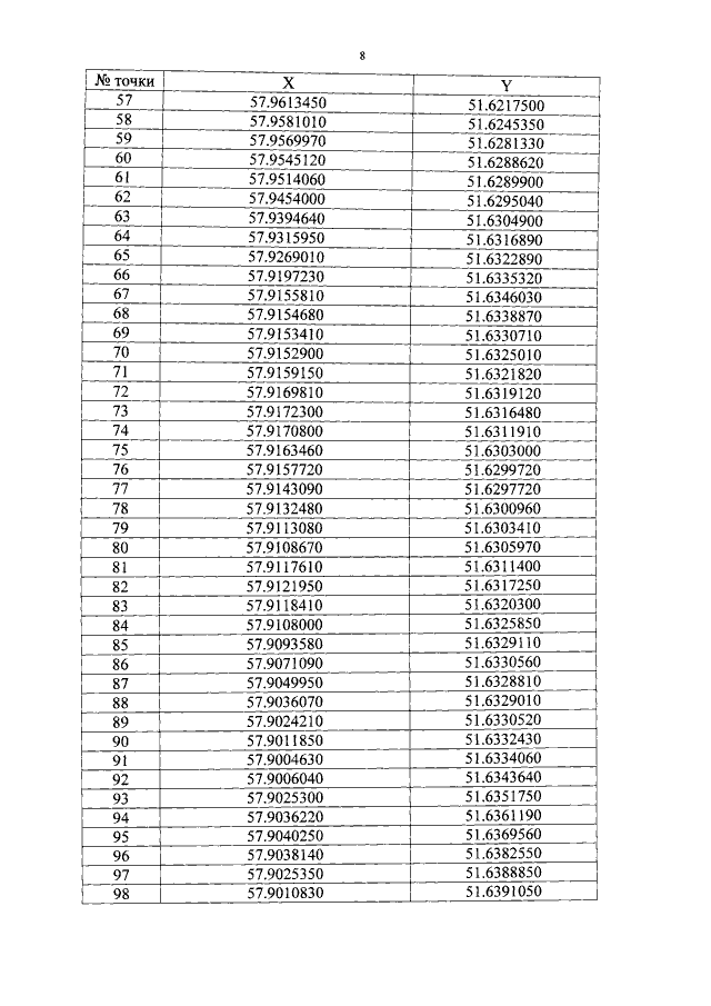
Постановление Правительства Оренбургской области от 29.03.2018 № 185-п "О государственном природном заказнике областного значения "Карагай-Губерлинское ущелье"
Номер опубликования: 5600201804040002
Дата опубликования: 04.04.2018
Страница №8 из 18:
Увеличить