Официальное опубликование правовых актов
ОФИЦИАЛЬНОЕ ОПУБЛИКОВАНИЕ
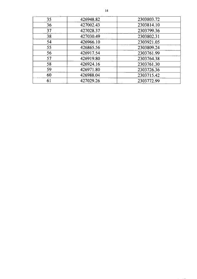
Постановление Правительства Оренбургской области от 23.04.2018 № 244-п "Об утверждении границ зон охраны, особых режимов использования земель и требований к градостроительным регламентам в утвержденных границах территорий зон охраны объекта культурного наследия (памятника истории и культуры) народов Российской Федерации регионального значения "Усадьба городская купца П.Н. Оглодкова. Дом жилой. Флигель. Эклектика. Кирпичный стиль" (г. Оренбург, ул. Яицкая, 23)"
Номер опубликования: 5600201804260004
Дата опубликования: 26.04.2018
Страница №14 из 22:
Увеличить