Официальное опубликование правовых актов
ОФИЦИАЛЬНОЕ ОПУБЛИКОВАНИЕ
Постановление Правительства Оренбургской области от 16.05.2018 № 278-п
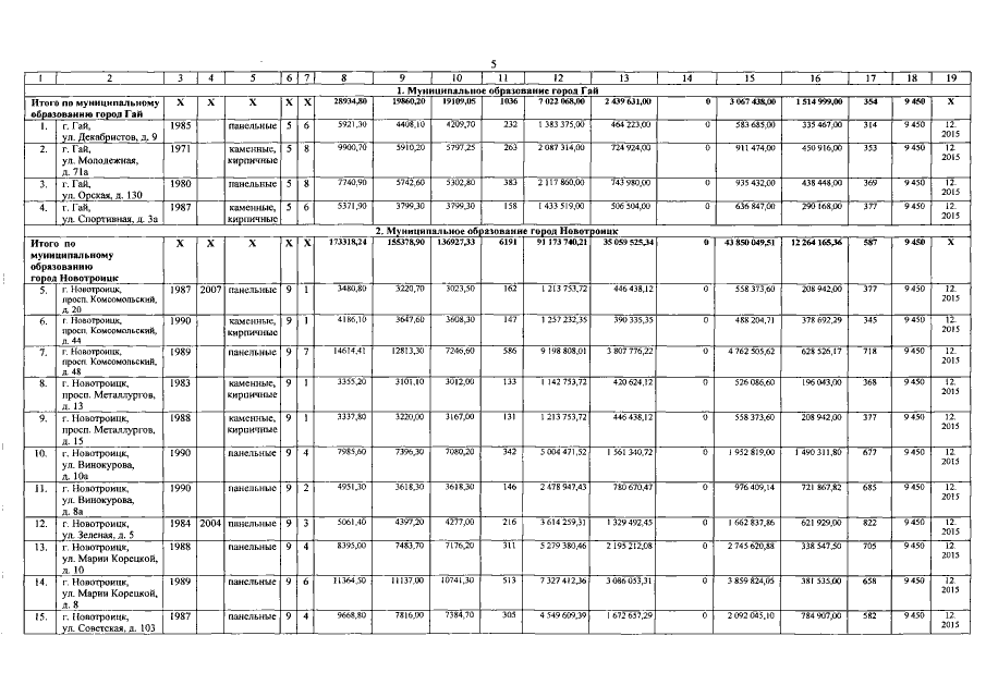
"Об итогах выполнения краткосрочного плана реализации региональной программы "Проведение капитального ремонта общего имущества в многоквартирных домах, расположенных на территории Оренбургской области, в 2014–2043 годах" на 2014–2016 годы"
Номер опубликования: 5600201805180012
Дата опубликования: 18.05.2018
Страница №5 из 97:
Увеличить