Официальное опубликование правовых актов
ОФИЦИАЛЬНОЕ ОПУБЛИКОВАНИЕ
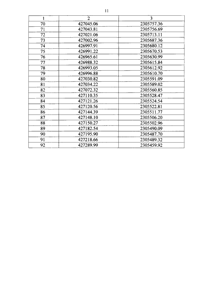
Постановление Правительства Оренбургской области от 25.06.2018 № 369-п
"Об утверждении границ зон охраны, особых режимов использования земель и требований к градостроительным регламентам в утвержденных границах территорий зон охраны объекта культурного наследия (памятника истории и культуры) народов Российской Федерации регионального значения "Семинария Духовная" (г. Оренбург, ул. Челюскинцев, 17)"
Номер опубликования: 5600201806280004
Дата опубликования: 28.06.2018
Страница №11 из 19:
Увеличить