Официальное опубликование правовых актов
ОФИЦИАЛЬНОЕ ОПУБЛИКОВАНИЕ
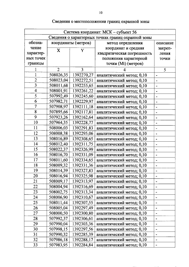
Постановление Правительства Оренбургской области от 26.07.2018 № 476-п "Об утверждении границ охранных зон газораспределительных сетей и наложении ограничений на входящие в них земельные участки, расположенные на территории муниципального образования Сорочинский городской округ Оренбургской области"
Номер опубликования: 5600201808010001
Дата опубликования: 01.08.2018
Страница №10 из 176:
Увеличить