Официальное опубликование правовых актов
ОФИЦИАЛЬНОЕ ОПУБЛИКОВАНИЕ
Постановление Правительства Оренбургской области от 02.08.2018 № 503-пп
"О внесении изменений в постановление Правительства Оренбургской области от 28 июня 2013 года № 553-пп"
Номер опубликования: 5600201808070003
Дата опубликования: 07.08.2018
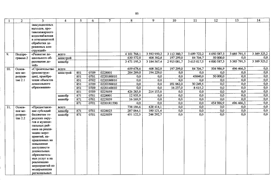
Страница №85 из 145:
Увеличить