Официальное опубликование правовых актов
ОФИЦИАЛЬНОЕ ОПУБЛИКОВАНИЕ
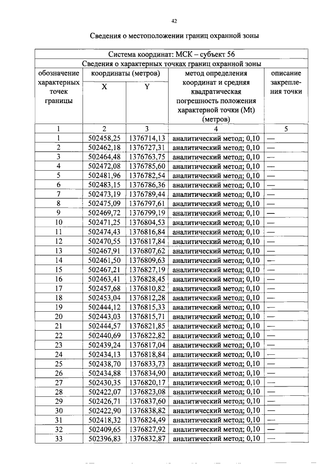
Постановление Правительства Оренбургской области от 10.08.2018 № 512-п
"Об утверждении границ охранных зон газораспределительных сетей и наложении ограничений на входящие в них земельные участки, расположенные на территории муниципального образования Сорочинский городской округ Оренбургской области"
Номер опубликования: 5600201808140002
Дата опубликования: 14.08.2018
Страница №42 из 149:
Увеличить